Einführung in die digitale Signalverarbeitung Teil 3/8
Aus ELVjournal
04/2007
0 Kommentare
Mit
der Korrelation kann man kleinste Signale im Rauschen aufspüren und das
Parseval’sche Theorem ableiten. Was die Multiplikation im Zeitbereich,
ist die Faltung im Frequenzbereich und umgekehrt. Dieser elementare
Zusammenhang hilft, tiefere Einblicke in die Signalverarbeitung zu
gewinnen. So kann man damit begründen, dass ein abgetastetes Zeitsignal
ein periodisches Spektrum hat.Das Parseval’sche Theorem
Benannt
nach dem französischen Mathematiker Marc-Antoine Parseval des Chênes
(1755–1836), beschreibt es die Gleichheit der Gesamtenergie eines
reellen Signals im Zeitbereich x(t) und der desselben im Frequenzbereich
X(iω). Parseval erschien die Aussage seines Theorems so offensichtlich
(schließlich handelt es sich hierbei ja nur um zwei verschiedene
Sichtweisen ein und desselben Signals), dass er auf einen Beweis
verzichtete. Die Parseval’sche Formel lautet:Während
die linke Seite von (39) die Zeitintegration der Momentanleistung –
eine Energie – darstellt, beschreibt die rechte Seite das
Frequenzintegral über die Energiedichte – also ebenfalls eine Energie.
Die rechte Seite von (39) leitet sich aus der Fouriertransformierten der
so genannten Autokorrelation eines Energiesignals ab. Das Wort
Korrelation kommt aus dem Lateinischen und bedeutet dort so viel wie
Wechselbeziehung. In der Systemtheorie der Nachrichtentechnik beschreibt
man mit der Kreuzkorrelationsfunktion (KKF) das Maß der Ähnlichkeit
zweier Funktionen: Die Kreuzkorrelierte (KKF) zweier Energie-
Zeit-Funktionen x(t) und y(t) lautet: 
|
| Gleichung 39 – Parseval’sche Formel |

|
| Gleichung 40 – Kreuzkorrelierte |
Mathematisch
gesehen verschiebt man eine der Funktionen um einen gewissen zeitlichen
Abstand τ und integriert das Produkt mit der anderen, unverschobenen
Funktion über die Zeit. Bei Funktionen mit geringen Wechselbeziehungen
ergeben sich kleine Kreuzkorrelierte. Stellt man sich vor, die beiden
Zeitfunktionen würden sich immer ähnlicher (bis zur Gleichheit), geht
die Kreuzkorrelierte in die Autokorrelierte über. Die Autokorrelierte
(AKF) einer Zeitfunktion x(t) lautet also: 
|
| Gleichung 41 – Autokorrelierte |
Auf
den ersten Blick scheint es vielleicht merkwürdig, ein Signal mit
seiner zeitverschobenen Kopie zu multiplizieren und das Produkt zu
integrieren. Aber die ses Verfahren hat sich hervorragend bewährt, um
schwache und stark verrauschte elektromagnetische Signale aufzuspüren.
Zum Beispiel wird in einem Radarsystem das mit Rauschen überlagerte
schwache und laufzeitverschobene Echo x(t + τ) mit dem Sendesignal x(t)
verglichen, indem man die Variable τ so lange verändert, bis die AKF
maximal ist. Dann ist man einerseits sicher, das richtige Signal und
kein Störecho zu empfangen, und kann aus der gefundenen Laufzeit τ den
Abstand zum reflektierenden Objekt berechnen. Bei Funkwellen, die sich
mit Lichtgeschwindigkeit 300.000 km/s ausbreiten, und unter
Berücksichtigung der Tatsache, dass die Laufstrecke des Signals der
doppelten Entfernung zum reflektierenden Objekt entspricht, führt τ =
200 μs zu einem Objektabstand von 30 km. Ein weiteres Beispiel ist die
Mustererkennung in einem Bild, wie sie bei der Überwachung und Steuerung
industrieller Prozesse, des Straßenverkehrs, bei der Bildanalyse usw.
stattfindet. Hier wird statt der eindimensionalen Zeitvariablen (t) aber
mit den zweidimensionalen Ortsfrequenzvariablen (x, y) gearbeitet. Das
führt zu erheblichem Rechenaufwand und schließt eine
Echtzeitverarbeitung oft aus. Über die AKF zur Parseval’schen Formel

|
| Gleichung 42 |
Es
gibt verschiedene Wege, die Parseval’sche Formel herzuleiten. Einer
davon ist die Anwendung des Faltungssatzes, den wir später noch
ausführlich beleuchten. Ein anderer Weg führt über die AKF. Setzt man
die Autokorrelierte nach (41) in die Definitionsgleichung der
Fouriertransformation (18) ein, ergibt sich (42). Im Gang der Rechnung
haben wir vom Zeitverschiebungssatz aus Tabelle 1 Gebrauch gemacht und
berücksichtigt, dass eine reelle Zeitfunktion ein Spektrum mit geradem
Realteil und ungeradem Imaginärteil hat. Der Zeitverschiebungssatz
begründet die Anschrift: Mit dem Satz über reelle Zeitfunktionen können wir herleiten, dass: Offensichtlich
wäre die linke Seite der Gleichung bei einem negativen Vorzeichen des
Exponenten der e-Funktion definitionsgemäß gleich X(iω). Wegen des
positiven Exponenten erhalten wir aber X(–iω). Weil x(t) reell ist,
gilt: Re[X(–iω)] = Re[X(iω)] und Im[X(–iω)] = –Im[X(iω)], d. h. der
Realteil hat sich nicht verändert, der Imaginärteil dagegen sein
Vorzeichen umgekehrt, was zu zeigen war. Kxx(iω) stellt als
Fouriertransformierte der Autokorrelierten des Zeitsignals x(t) dessen
Energiedichte dar, man nennt Kxx(iω) deshalb auch das
Energiedichtespektrum von x(t). Um zur Parseval’schen Gleichung zu
gelangen, ist es nur noch ein kleiner Schritt. Die Gesamtenergie des
Zeitsignals berechnet sich aus (41) als (43). Um aus der Identität in
der letzten Zeile von (42) wieder die erzeugende Zeitfunktion zu
ermitteln, müssen wir diese als inverse Fouriertransformierte ausdrücken
(44). Gleichung (43) und (44) (mit τ = 0) werden jetzt gleichgesetzt
und es folgt die Parseval’sche Formel, wie in (39) angegeben. 
|
| Gleichung 43 – Gesamtenergie |

|
| Gleichung 44 |
Ein praktisches Beispiel zum Parseval’schen Theorem

|
| Bild
17: Der RC-Tiefpass ist ein Spannungsteiler, dessen unterer
Teilerwiderstand ein Kondensator ist. Sein Widerstand nimmt mit
zunehmender Frequenz ab und damit auch die Ausgangsspannung des Teilers. |
Zur
Vertiefung und als Rechenübung wollen wir das Parseval’sche Theorem
anhand der Impulsantwort eines RC-Tiefpasses verifizieren. Die
Beziehungen dazu sind in Abbildung 17 zusammengestellt. Die komplexe
Fouriertransformierte H(iω) der reellen Impulsantwort h(t) wurde bereits
in (27) abgeleitet und in Abbildung 9 oben dargestellt. Zur Bestätigung
des Parseval’schen Theorems soll nun gezeigt werden, dass h(t) und
H(iω) den gleichen Signalenergieinhalt haben (s. Formel 45 und 46).
Zunächst berechnen wir das Betragsquadrat von H(iω) (46). Das
Betragsquadrat in die rechte Seite der Parseval’schen Formel eingesetzt,
ergibt (47). Damit sind die im Zeitbereich gemäß Gleichung (45) und im
Frequenzbereich gemäß Gleichung (47) ermittelten Signalenergien
identisch und die Parseval’sche Formel ist bestätigt.
|
| Gleichung 45 – Signalenergie der Zeitfunktion |

|
| Gleichung 46 – Signalenergie der Frequenzfunktion |

|
| Gleichung 47 |
Funktionsverläufe zeichnen

|
| Bild 18: Mit wenigen Zeilen ist ein kleines Programm geschrieben, das die Funktion sin(x)/x als Grafik ausgibt. |
Liegt
eine Funktion als Formel vor, kann man sich ein Bild von ihr
verschaffen, indem man eine Tabelle erstellt, in der man die unabhängige
Variable (t bei den Zeitfunktionen und ω bei den Spektren) eine gewisse
Anzahl von Werten annehmen lässt und den dazugehörigen Funktionswert
errechnet und daneben schreibt. Die so erhaltene Tabelle lässt sich
zeichnerisch in Punkte in einem Koordinatensystem umsetzen. Verbindet
man die Punkte, erhält man einen mehr oder weniger genauen
Funktionsgraphen. Das ist bei komplizierteren Formeln aber abschreckend
aufwändig. Aber es gibt einen kostenlosen, mächtigen und eleganten
Ausweg – Scilab. Seit Mitte Dezember 2006 in der Version 4.1, ist dieses
hervorragende wissenschaftliche Softwarepaket unter www.scilab.org
herunterladbar. Damit steht ein ausgezeichnetes Werkzeug für numerische
Berechnungen und die grafische Präsentation der Ergebnisse zur
Verfügung. Ja, es scheint so: „The best things in life are free.“ Scilab
ist ein Interpreter, d. h., die geschriebenen Programme brauchen nicht
übersetzt (kompiliert) zu werden, man kann sie sofort ausführen. Eine
komplette Einführung in Scilab würde den Rahmen dieser Artikelreihe bei
weitem sprengen, aber wir wollen an einigen Beispielen ohne tiefere
Erläuterungen demonstrieren, wie nützlich dieses Tool ist. Angenommen,
Scilab ist auf dem Rechner installiert. Nach dem Aufruf wechseln wir in
den Editor SciPad. Dort erstellen wir das kleine Programm aus Abbildung
18. Um es zu testen, wählen wir über Execute den Menüpunkt „Load into
Scilab“, und wenn wir alles richtig gemacht haben, poppt ein Fenster
auf, das die gewünschte grafische Darstellung in Abbildung 18 zeigt.Vom analogen zum digitalen Signal
Analoge
Signale sind innerhalb ihres Wertebereichs durch eine unendlich feine
Stufung bezüglich Zeit und Amplitude gekennzeichnet. Man sagt auch:
„Analogsignale sind zeit- und wertekontinuierlich“. Entnimmt man ihnen
zu regelmäßigen Zeitpunkten Werteproben – diesen Vorgang bezeichnet man
auch als Abtasten –, haben wir zunächst die Zeit diskretisiert, aber
immer noch einen kontinuierlichen Wertebereich. Typische Vertreter
solcher zeitdiskreten, aber wertekontinuierlichen Systeme sind
SC-Filter, bei denen ohmsche Widerstände durch periodisch umgepolte
Kondensatoren (SC: switched capacitor) ersetzt werden. Bei voll digital
arbeitenden Schaltungen geht man noch einen Schritt weiter und ordnet
den analogen Abtastwerten digitale Zahlenwerte zu. Diese werden durch
Binärwörter mit endlicher Wortlänge repräsentiert, woraus eine gewisse
„Granularität“ der Amplitudendarstellung resultiert. Jetzt haben wir es
also mit einer zeit- und wertediskreten Präsentation des Signals zu tun.Das Abtasttheorem

|
| Bild 19: Claude Elwood Shannon hat die Nachrichtentechnik viel zu verdanken. |
Das
Abtasttheorem beantwortet die Frage, in welchem zeitlichen Abstand
einem Signal Proben entnommen werden müssen, um es aus denselben ohne
Informationsverlust wieder vollständig rekonstruieren zu können. Das
Abtasttheorem geht auf Arbeiten von Edmund Taylor Whittaker (1873–1956),
Harry Nyquist (1889–1976), Wladimir Alexandrowitsch Kotelnikow
(1908–2005) und Claude Elwood Shannon (1916–2001) (Abbildung 19) zurück
und wird in der Literatur deshalb auch mit den Namen
„Nyquist-Shannon-Abtasttheorem“ oder „WKS-Abtasttheorem“ (WKS: Whittaker
Kotelnikow Shannon) belegt. Mit den Kenntnissen aus der Fourierana lyse
ist das Abtasttheorem einfach zu verstehen. Nach Fourier entsteht jede
Funktion aus der Überlagerung elementarer harmonischer Schwingungen mit
Vielfachen einer Grundfrequenz. Enthält das Signal nun eine Komponente
mit der maximalen Frequenz fmax, so sind dieser wenigstens zwei
Abtastwerte pro Periode zu entnehmen, um sie wieder eindeutig
rekonstruieren zu können. Mit anderen Worten: Wenn fmax die höchste in
einem Signal auftretende Frequenz ist, muss es mindestens mit der
doppelten Maximalfrequenz 2 fmax abgetastet werden, um Verluste bei der
Rekonstruktion aus der Abtastwertefolge zu vermeiden. Mit der
Schreibweise fs für die Abtastfrequenz (s steht für das englische Wort
sample = Probe) zeigt Gleichung (48) die mathematische Formulierung des
Abtasttheorems.
|
| Gleichung 48 – Das Abtasttheorem |
Für
die Einhaltung des Abtasttheorems ist also eine Begrenzung der
Bandbreite des abzutastenden Signals (Bandbegrenzung) erforderlich. Dazu
dient ein analoger Tiefpass, dessen Grenzfrequenz gleich oder kleiner
als die halbe Abtastfrequenz sein muss. Damit ist sichergestellt, dass
keine hohen Frequenzanteile im abzutastenden Signal enthalten sind,
welche das Abtasttheorem verletzen und so genannte Alias-Effekte
hervorrufen würden. In der Praxis ist es wegen der endlichen
Flankensteilheit des analogen Tiefpasses üblich, die Abtastfrequenz
deutlich größer als die doppelte Maximalfrequenz im Signal zu wählen. 
|
| Bild 20: Wird das Abtasttheorem nicht eingehalten, entstehen Aliasfrequenzen |
Am
Beispiel in Abbildung 20 wird dieser Sachverhalt verdeutlicht. Die
Zeitachse ist in ein 100-ms-Raster unterteilt. Eine Periode der grünen
Sinuskurve dauert drei Rasterschritte, ihre Frequenz beträgt somit 3,33
Hz. Sie wird alle 100 ms, also mit einer Abtastfrequenz von 10 Hz
abgetastet. Damit ist das Abtasttheorem erfüllt, welches ja mindestens
eine Abtastfrequenz von 6,66 Hz verlangt, man spricht von Überabtastung.
Zwischen den so gewonnenen grünen Abtastwerten lässt sich nur eine
Sinuskurve – nämlich die grüne – einpassen. Dieser Vorgang ist die
originalgetreue Rekonstruktion der ursprünglichen grünen abgetasteten
Kurve. Anders sieht es aus, wenn wir die grüne Kurve nur alle 5 Takte,
also mit 2 Hz, abtasten. Das Abtasttheorem wird verletzt
(Unterabtastung) und die rekonstruierte rote Kurve ist nicht mehr
identisch mit der grünen Ausgangskurve. Sie ist vielmehr ein
niederfrequenteres Abbild (Alias), dessen Periode 15 Takte umfasst und
dessen Frequenz somit 2/3 Hz beträgt. Aliasfrequenzen entstehen nur bei
Verletzung des Abtasttheorems, wenn also fs < 2 fmax ist, also die
höchste im Signal auftretende Harmonische nicht mindestens zweimal pro
Periode abgetastet wird. Aliasfrequenzen berechnen sich dann nach der
Beziehung Gleichung (49):
|
| Gleichung 49 |
n
ist als ganze Zahl so zu wählen, dass der Betrag von nfs – f den
kleinstmöglichen Wert annimmt. Im Beispiel von Abbildung 20 wäre demnach
n = 2, woraus die Aliasfrequenz (2 • 2 – 31/3) Hz = 2/3 Hz folgt. Ein
weiteres Beispiel: Vier Frequenzen f1 = 25 Hz, f2 = 70 Hz, f3 = 160 Hz
und f4 = 510 Hz werden mit fs = 100 Hz abgetastet. Bei der Abtastung von
f2, f3 und f4 wird das Abtasttheorem verletzt und es entstehen die
Aliasfrequenzen f2 Alias = Betrag von (100 – 70) Hz = 30 Hz, f3 Alias =
Betrag von (200 – 160) Hz = 40 Hz sowie f4 Alias = Betrag von (500 –
510) Hz = 10 Hz. Die Wirkung einer Unterabtastung ist auch in alten
Westernfilmen in Gestalt sich scheinbar rückwärts drehender Wagenräder
und als Stroboskopeffekt in der Diskothek beobachtbar. Der Abtastvorgang
wird mathematisch durch die Multiplikation einer kontinuierlichen
Zeitfunktion x(t) mit einer regelmäßigen Folge von Dirac-Impulsen ss(t)
beschrieben. Der zeitliche Abstand der Dirac-Impulse entspricht der
Abtastperiode Ts. Durch die Ausblendeigen - schaft des Dirac-Impulses
wird nur der Funktionswert von x(t) selektiert, der zum Zeitpunkt des
Dirac-Impulses existiert. Gleichung (50) drückt dies aus. 
|
| Gleichung 50 |
Um
aus dieser Gleichung weitere Erkenntnisse bequem ableiten zu können,
werden wir uns jetzt ein wenig mit der Faltung – im Englischen
Convolution genannt – beschäftigen. Multiplizieren hier – Falten dort
Aus
Tabelle 1 wissen wir, dass die Multiplikation zweier Zeitfunktionen der
Faltung ihrer Spektren (auf Englisch: convolution) entspricht bzw.
umgekehrt. Doch was ist nun eine Faltung zweier Funktionen? Mathematisch
gesprochen ist die Faltung eine Vorschrift, nach der zwei Funktionen
x1(t) und x2(t) auf eine dritte Funktion y(t) abgebildet werden. Das
hört sich komplizierter an, als es ist. Im analogen Zeitbereich ist die
Faltung zweier Funktionen wie in Gleichung (51) definiert. Im
Frequenzbereich ist die Fouriertransformierte von y(t) gleich dem
Produkt der Fouriertransformierten von x1(t) und x2(t), wie in Gleichung
(52) dargestellt.
|
| Gleichung 51 – Faltung im Zeitbereich und symbolische Schreibweise mit Faltungsstern |

|
| Gleichung 52 – Multiplikation im Frequenzbereich |
Werden
zwei Frequenzfunktionen X1(ω) und X2(ω) miteinander gefaltet,
entspricht das der Produktbildung ihrer Fourierrücktransformierten im
Zeitbereich. Vergleiche Gleichungen (53) und (54). Wir werden später
genauer auf Anwendungen der Faltung eingehen. An dieser Stelle wollen
wir als Merksatz knapp zusammenfassen:
Faltung im
Zeitbereich entspricht Multiplikation im Frequenzbereich bzw.
Multiplikation im Zeitbereich entspricht Faltung im Frequenzbereich.

|
| Gleichung 53 – Faltung im Zeitbereich und symbolische Schreibweise mit Faltungsstern |

|
| Gleichung 54 – Multiplikation im Frequenzbereich |
Von der Faltungssumme zum Faltungsintegral

|
| Bild 21: Die Eigenschaften eines LTI-Systems: linear und zeitunabhängig |
Wer
mathematisch etwas vorgebildet ist, kann das Faltungsintegral aus der
Gleichung auch anschaulich interpretieren. Vorausgesetzt wird ein
lineares, zeitinvariantes System (LTI: Linear Time Invariant). Darunter
versteht man ein System, das zu jedem Zeitpunkt auf die gleichen
Eingangsanregungen mit den gleichen proportionalen Reaktionen antwortet.
Abbildung 21 fasst diese Eigenschaften zusammen.
|
| Bild
22: Die Überlagerung der Systemantworten auf eine durch eine Folge von
Rechtecken nachgebildete Eingangsfunktion führt zur Faltungssumme als
Ausgangsfunktion |
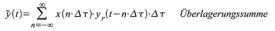
Zur
Ableitung des Faltungsintegrals denken wir uns nun die Eingangsanregung
x(t) durch eine Treppenkurve angenähert (Abbildung 22). Sie besteht aus
einer Folge von Rechtecken der Breite Δτ und einer Höhe, die dem
Eingangssignalwert in der Mitte des Rechtecks entspricht. Am Beispiel
eines RC-Tiefpasses sind die Antworten auf die einzelnen Rechtecke in
deren Farben als ansteigende und abfallende e-Funktionen untereinander
dargestellt. Wegen der LTI-Eigenschaften überlagern sie sich zu einer
Summe entsprechend Gleichung (55).
|
| Gleichung 55 – Überlagerungssumme |
Je
feiner nun die Treppe gestuft wird, umso ähnlicher wird die
Überlagerungssumme dem wahren Ausgangssignal des Systems. Im
Grenzübergang für Δτ → 0 gehen die Rechtecke des treppenförmigen
Eingangssignals xr(t) in eine unendliche Rechteckdauer Δτ zum
infinitesimal kurzen Zeitabschnitt dτ, die Summe zum Integral und die
diskreten Zeitpunkte nΔτ zur Laufvariablen τ wie in (56) und (57). Die
Gleichung (56) ist nichts weiter als die bereits aus Gleichung (22)
bekannte Ausblendeigenschaft des δ-Impulses. Gleichung (57) ist das
Faltungsintegral aus dem Eingangssignal und der Impulsantwort des
Systems. Wegen der LTI-Eigenschaften genügt es also, die Antwort y(t) =
h(t) des Systems auf einen Dirac-Impuls δ(t) als Eingangssignal zu
kennen. Für ein beliebiges Eingangssignal x(t) folgt dann aus Gleichung
(57) die entsprechende Ausgangsspannung y(t) = x(t)*h(t). 
|
| Gleichung 56 |

|
| Gleichung 57 |
Eine
erstaunliche Tatsache! Es ist sehr nützlich, einige der wichtigsten in
den Gleichungen (58–62) dargestellten Eigenschaften der Faltung zu
kennen. Die meisten davon lassen sich unmittelbar aus dem
Definitionsintegral nach Gleichung (51) oder (57) herleiten. 
|
| Gleichung 58 – Die Faltung ist kommutativ |

|
| Gleichung 59 – Die Faltung ist assoziativ |

|
| Gleichung 60 – Die Faltung ist distributiv |

|
| Gleichung 61 – Der Diracimpuls ist das neutrale Element der Faltung |

|
| Gleichung 62 – Verschiebungseigenschaften des Diracimpulses |
Grafische Veranschaulichung des Faltungsintegrals

|
| Bild 23: So werden das Eingangssignal x(t) und die Impulsantwort des Systems zum Ausgangssignal „gefaltet“ |
Wir
wollen anhand von Gleichung (63) grafisch die Wirkungsweise der Faltung
nachvollziehen. Als anregendes Signal x(t) nehmen wir zwei
aufeinanderfolgende Rechtecke – das erste negativ, das zweite positiv.
Die Impulsantwort des Systems h(t) ist eine abklingende e-Funktion.
Abbildung 23 zeigt, wie x(t) und h(t) mit Hilfe des Faltungsintegrals
Gleichung (63) in y(t) überführt werden.
|
| Gleichung 63 – Faltungsintegral |

|
| Bild 24: Der Faltungsprozess zu vier aufeinanderfolgenden Zeitpunkten |
Abbildung
24 demonstriert grafisch, wie die Faktoren des Integranden, der
Integrand selbst und das Integral zu aufeinanderfolgenden Zeitpunkten
t1, t2, t3 und t4 aussehen. Mit zunehmender Zeit t schiebt sich das
zeitgespiegelte Eingangssignal immer weiter über die Impulsantwort. Das
Produkt aus beiden wird aufintegriert und ergibt den Momentanwert der
Ausgangsspannung. Alle Momentanwerte zusammen repräsentieren den
zeitlichen Verlauf des Ausgangssignals (gestrichelte Kurve). Bei
zeitlich begrenztem x(t) und h(t) entsteht erst dann ein Ausgangssignal,
wenn sich die Faktoren des Integranden zu überlappen beginnen. Deshalb
ist das Ausgangssignal y(t) ebenfalls zeitlich begrenzt und so breit wie
die Anregung x(t) und die Impulsantwort h(t) zusammen.Wenn
wir nun auf Gleichung (50) unser Wissen anwenden, dass der Faltung im
Zeitbereich die Multiplikation im Frequenzbereich entspricht, führt dies
unter Auslassung einiger Zwischenschritte bei der Berechnung zu
Gleichung (64). Sie beschreibt nun nichts anderes als das mit der
Abtastkreisfrequenz ωs periodisch wiederholte Spektrum X(iω) der nicht
abgetasteten, bandbegrenzten Zeitfunktion x(t). Mit anderen Worten: Wird
eine Zeitfunktion x(t), deren Spektrum X(iω) ist, unter Einhaltung des
Abtasttheorems regelmäßig im Raster Ts = 2π/ωs abgetastet, so ist das
Spektrum Xs(iω) der abgetasteten Zeitfunktion eine in ωs periodische
Wiederholung von X(iω). Wir merken uns deshalb: Die Abtastung einer
Zeitfunktion führt zur Periodisierung ihres Spektrums. Wird das
Abtasttheorem eingehalten, überlappen sich die periodischen Spektren
nicht. Ist die Abtastfrequenz dagegen zu klein, überlagern sie sich.
Deshalb lässt sich aus ihnen die ursprüngliche Zeitfunktion nicht mehr
fehlerfrei zurückgewinnen. 
|
| Gleichung 64 – Periodisches Spektrum einer abgetasteten Zeitfunktion |

|
| Bild
25: Wird das Abtasttheorem verletzt, überlagern sich die periodischen
Spektren und das Spektrum des unabgetasteten Originalsignals lässt sich
nicht wiedergewinnen. Es ist durch Aliasanteile verfälscht. |
Abbildung
25 gibt dies wieder. Es ist jetzt anschaulich zu erkennen, dass eine
Verletzung des Abtasttheorems ωs < 2 ωmax eine Durchdringung des
Basisbandspektrums mit seinen Nachbarn bewirkt. Damit ist die
Wiedergewinnung des Basisbandspektrums des analogen (unabgetasteten)
Signals durch Tiefpassfilterung nicht mehr möglich. Somit kann auch das
unabgetastete Signal nicht rekonstruiert werden.Fassen
wir also noch einmal zusammen: Durch das Abtasten eines bandbegrenzten
Signals entstehen bei Vielfachen der Abtastfrequenz Kopien des
ursprünglichen Spektrums des unabgetasteten Signals (Aliasspektren). Die
Betrachtung der Grenzfälle ist interessant. Lassen wir das
Abtastintervall gegen null gehen, entnehmen wir also mit einer unendlich
hohen Abtastfrequenz Signalproben, schieben sich die Aliasspektren ins
Unendliche und es verbleibt das Basisbandspektrum des unabgetasteten
Signals. Verringern wir die Abtastfrequenz dage gen immer mehr, rücken
die periodischen Spektren immer weiter zusammen. Mit dem Verletzen des
Abtasttheorems beginnen sie sich zu überlagern, bis sie im Grenzfall
eines einzigen Abtastwerts den konstanten Summenwert 1 annehmen (65). 
|
| Gleichung 65 |
In Teil 4 beschäftigen wir uns mit der Digitalisierung analoger Signale. Fachbeitrag als PDF-Download herunterladen
Inhalt
Sie erhalten den Artikel in 1 Version:
als PDF (6 Seiten)
Sie erhalten folgende Artikel:
- Einführung in die digitale Signalverarbeitung Teil 3/8
| weitere Fachbeiträge | Foren | |
Hinterlassen Sie einen Kommentar: